← Back to writing
Strategy

The Greedy Algorithm and Business

How the greedy algorithm maps to business decisions: choosing the obvious first-level path instead of considering downstream options.

April 2020
A wild boar foraging in a forest

We often times choose a path — whether it's marketing or systems optimization — based on what is our best most obvious path. This first level path reminds me of the Greedy Algorithm where you make a decision on the first level of feedback rather than the downstream options.

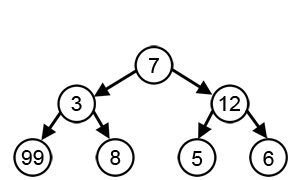
Animated diagram showing a greedy search path through a tree of numbered nodes
A greedy algorithm always picks the locally optimal node, potentially missing the globally optimal path.

In computer science, a greedy algorithm is any algorithm that follows the problem-solving heuristic of making the locally optimal choice at each stage. The greedy approach doesn't reconsider its decisions — it commits to whatever looks best right now.

In business, this maps directly to how we often make strategic decisions. We see the immediate metric improvement, the quick win, the path of least resistance — and we commit without modeling the second and third-order effects.

The greedy algorithm works well for some problems. But for most complex optimization problems, it produces suboptimal results. The same is true in business: the obvious path forward is often not the best path forward.

The challenge is developing the discipline to look past the first-level feedback and consider the full decision tree before committing.

Built by orchestrating AI agents — Scott Nixon, Oregon